
By Dr Pulasthi Amarasinghe, Research Fellow, Institute of Policy Studies of Sri Lanka (IPS)
Oil price fluctuations have historically impacted the cost of goods and services across the world. As the current global markets show an increase in crude oil prices from USD 65 per barrel prior to the start of the war to USD 102 per barrel (a 59% increase) and signal further increases, Sri Lanka finds itself in a similar, or even more volatile, situation than during the oil price hikes of the Russian-Ukrainian War in 2022.
However, since 2022, Sri Lanka’s fuel pricing system has changed to ensure consistency with market prices. For many years prior to the crisis, domestic fuel prices were administered by the government and adjusted irregularly. During the crisis, Sri Lanka moved towards a market-linked fuel pricing mechanism, where domestic prices closely follow global oil prices and exchange rate movements. This reform has changed how oil price shocks pass through to inflation. It also raises an important question: how are these shocks transmitted to the various sectors in Sri Lanka’s basket of goods and services?
A Tale of Two Pricing Regimes: Differing Effects on Inflation
Using monthly data and local projection impulse responses, it is possible to estimate how Sri Lanka’s Consumer Price Index (CPI) responds to current oil price shocks from the Gulf crisis, under two different pricing regimes: an administered pricing system and the current market-linked system.
Figure 1: Gulf War Oil Price Shock (USD 65 per barrel to USD 102) Pass-through to CPI under Administrated Pricing and Market-linked Pricing

In the administrated pricing system before 2022, when domestic fuel prices were largely administered, global oil price shocks had only a negligible impact on the CPI. Even after several months, the estimated inflation response remained close to zero. This suggests that even a large oil price increase, such as the current Gulf shock, would have translated into only limited and delayed changes in consumer prices.
However, the CPI is far more responsive under market-linked pricing. Oil price shocks now translate into significantly higher CPI inflation within months. The estimated response shows a steady increase over time, indicating that global energy price movements are now transmitted more directly into domestic inflation.
While this may suggest that the previously implemented pricing system offered better protection for consumers, this interpretation overlooks an important issue: suppressing price adjustments does not eliminate the underlying cost of imported fuel. It simply shifts the cost into other parts of the economy, including fiscal pressures and external imbalances, which ultimately require adjustment, as seen during the 2022 crisis.
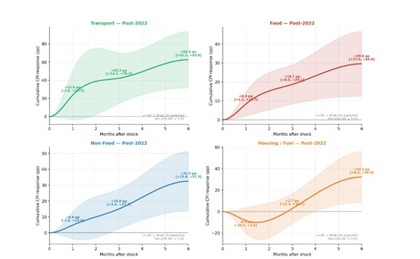
Sector Deep-Dive: Where Do the Shocks Arrive?
When oil prices rise and stay high under market-linked pricing, the impact of an oil price shock spreads in stages, with some sectors responding almost immediately and others adjusting only after a delay. The sectoral pass-through analysis for a 59% increase in crude oil prices since the start of the conflict provides a clear picture of this transmission process, as shown in Figure 2.
Figure 2: Gulf War Oil Price Shock (USD 65 per barrel to USD 102) – Sectoral CPI Pass-through using Post-2022 Market-linked Pricing Data

Source: Author estimation based on Choi et al. (2018)
The most immediate and strongest response is observed in transport prices. Once fuel prices increase, transport operators face an immediate rise in operating costs, which is quickly passed on to consumers. As a result, transport prices rise sharply within the first few months following an oil price shock, making this the primary channel through which energy price increases are felt across the economy.
Food prices respond next, with a short lag. Food production, while requiring energy use through machinery, may not be directly tied to fuel prices in the short run. However, the cost of transporting goods from farms, ports, and wholesale markets to retailers increases when fuel prices rise. Distribution channels are important in Sri Lanka, where supply chains rely heavily on road transport. The large share of food in household expenditure and the elevated and persistent nutritional and food insecurity following the economic crisis, especially among lower-income groups, represents one of the most visible and immediate welfare impacts. The potential addition of fertiliser inaccessibility and the possible reemergence of global export bans on food, such as the rice export ban in India in 2023, may further exacerbate the impact on nutrition.
Non-food prices, including manufactured goods, retail services, and other consumer items, show a more gradual but persistent increase. This reflects second-round effects as businesses across the economy begin to pass higher transport and energy costs into the prices of goods and services. The response of housing, electricity, and fuel-related utilities estimates a temporary dip before prices begin to rise more steadily. This may reflect an institutional feature of how these prices are set, where prices, particularly electricity tariffs and liquid petroleum gas (LPG) prices, are revised periodically rather than continuously. As a result, there can be a lag between increases in global oil prices and price adjustments. The initial dip should not be interpreted as a true reduction in underlying costs but likely a particularly delayed tariff adjustment in the data, statistical noise in the early months of the shock, or a new pricing mechanism. As adjustments take place, the upward pressure becomes more visible over time.
Policy Perspectives: Reducing Supply Chain Frictions
With fuel prices now market-linked, an oil price pass-through is inevitable. The relevant question is not whether that transmission occurs but whether it is smooth or delayed and amplified by frictions within the economy.
Transport prices, which adjust first and most sharply, reflect the direct fuel costs. Quick responses, such as the fuel QR system, help manage fuel shortages during times of scarcity. The broader policy priority should be to maintain transparent and predictable price adjustments. Attempts to delay the pass-through could create broader economic imbalances.
Food inflation lags indicate that oil shocks move through supply chains rather than appearing instantly. This lag is not a buffer but a pipeline. Food production requires that fuel remains available, even at higher prices. Producers can continue operating, preventing supply contractions that would otherwise amplify food price increases, when key inputs such as fuel and fertiliser are accessible. Resilient food supply chains are also likely to be critical for nutritional security. Strengthening value chains to ensure the provision of sufficient energy distribution and other resources to key stakeholders, from production to distribution, can reduce this build-up effect.
With the fuel pricing reform, Sri Lanka has changed how global oil shocks affect the domestic economy. The goal is no longer to suppress price signals but to manage how they move through the system. Households will be better placed to bear the economic pressures of energy through reduced supply chain frictions that allow efficient transmission of prices.
The opinions expressed are solely those of the author and do not necessarily reflect the views of Newswire.
The post From Pump to Plate: Understanding Oil Price Pass-through in Post-2022 Sri Lanka appeared first on Newswire.
