
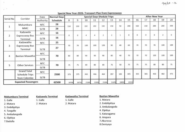
The National Transport Commission (NTC), in collaboration with the Department of Railways and the Sri Lanka Transport Board (SLTB), has announced an integrated transport plan to facilitate passenger travel during the Sinhala and Tamil New Year period from April 8 to 20, 2026.
According to the NTC, around 800 additional inter‑provincial bus journeys will be deployed daily under the supervision of the SLTB and the National Transport Commission.
These services are expected to cater to the increased passenger demand travelling to destinations such as Matara, Nuwara Eliya, Badulla, Hatton, Monaragala, Embilipitiya, Chilaw, and Galle.
The Department of Railways has also arranged special train services from Colombo Fort station on existing routes, supplementing regular operations.
Meanwhile, the Western Province Passenger Transport Authority has prepared buses centred on towns, including Nawinna, Gampaha, Kaduwela, Negombo, Avissawella, Panadura, Kadawatha, Kalutara, and Katunayake, to ease travel for passengers heading to villages.
Authorities expect nearly 1.5 million passengers to arrive at bus and railway terminals in Colombo and surrounding towns during the festive period. Sanitary facilities, security measures, and first aid services have been arranged at bus terminals, with officials assigned for special duties.
A 24‑hour operations centre and customer service unit have been established by the National Transport Commission, and passengers can contact the hotline 1955 or 0712595555 (WhatsApp) for assistance.
Officials also confirmed that inspections will be carried out around the clock to prevent overcharging, ensure service quality, and safeguard passenger safety. (Newswire)


The post Special transport plan announced for New Year season appeared first on Newswire.

